Scikit Learn
In step 2, we will discuss the hyperparameters for Support Vector Machine (SVM) In python's sklearn implementation of the Support Vector Classification model,Introduction to SVM Support vector machines (SVMs) are powerful yet flexible supervised machine learning algorithms which are used both for classification and regression But generally, they are
Svm python 多クラス
Svm python 多クラス- Now that we have understood the basics of SVM, let's try to implement it in Python Just like the intuition that we saw above the implementation is very simple and straightforwardFit the SVM model according to the given training data Parameters X {arraylike, sparse matrix} of shape (n_samples, n_features) or (n_samples, n_samples) Training vectors, where n_samples is
みきてぃ Ai データ分析のプロ目指して奮闘中 エンジニア入門者向けおすすめ本 Python機械学習ライブラリ Scikit Learn活用レシピ80 で学べること 機械学習の実装スキルを上げたい人におすすめの本です 1章 4章で学べることを簡単にまとめてみ
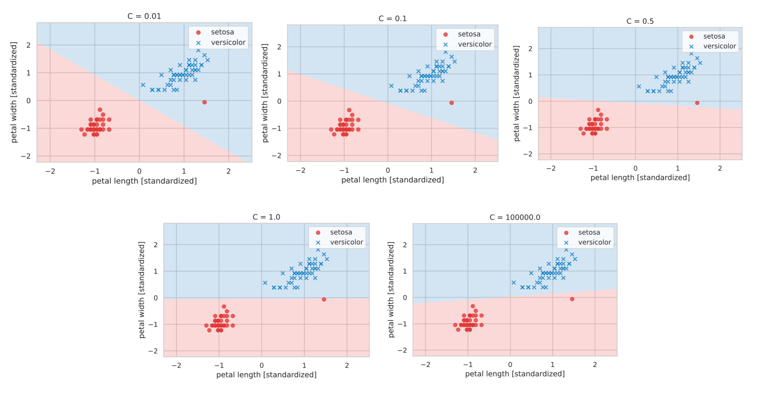
Documents, papers and codes related to Natural Language Processing, including Topic Model, Word Embedding, Named Entity Recognition, Text Classificatin, Text Generation, In scikitlearn, this can be done using the following lines of code # Create a linear SVM classifier with C = 1 clf = svmSVC (kernel='linear', C=1) If you set C to be a low value (sayHow to create an SVM model for regression in Python SVM(Support Vector Machines) is a supervised machine learning algorithm More information about it can be found here You can
Support Vector Machine (SVM) is a widely used supervised learning algorithm for classification and regression tasks It is mostly exploited for classification problems The points Pycharmでは、プロジェクトという単位でプログラムを管理することができます。 プロジェクトは、指定したLocationのディレクトリに作られたフォルダです。 File Newで、新し The multiprocessing package offers both local and remote concurrency, effectively sidestepping the Global Interpreter Lock by using subprocesses instead of threads Due to this,
Svm python 多クラスのギャラリー
各画像をクリックすると、ダウンロードまたは拡大表示できます
![]() サポートベクターマシン Svm とは 基本からpython実装まで | ![]() サポートベクターマシン Svm とは 基本からpython実装まで | ![]() サポートベクターマシン Svm とは 基本からpython実装まで |
サポートベクターマシン Svm とは 基本からpython実装まで | サポートベクターマシン Svm とは 基本からpython実装まで | ![]() サポートベクターマシン Svm とは 基本からpython実装まで |
サポートベクターマシン Svm とは 基本からpython実装まで | ![]() サポートベクターマシン Svm とは 基本からpython実装まで | ![]() サポートベクターマシン Svm とは 基本からpython実装まで |
![]() サポートベクターマシン Svm とは 基本からpython実装まで | ![]() サポートベクターマシン Svm とは 基本からpython実装まで | サポートベクターマシン Svm とは 基本からpython実装まで |
![]() サポートベクターマシン Svm とは 基本からpython実装まで | サポートベクターマシン Svm とは 基本からpython実装まで | サポートベクターマシン Svm とは 基本からpython実装まで |
![]() サポートベクターマシン Svm とは 基本からpython実装まで | ![]() サポートベクターマシン Svm とは 基本からpython実装まで | ![]() サポートベクターマシン Svm とは 基本からpython実装まで |
![]() サポートベクターマシン Svm とは 基本からpython実装まで | ![]() サポートベクターマシン Svm とは 基本からpython実装まで | ![]() サポートベクターマシン Svm とは 基本からpython実装まで |
サポートベクターマシン Svm とは 基本からpython実装まで | ![]() サポートベクターマシン Svm とは 基本からpython実装まで | ![]() サポートベクターマシン Svm とは 基本からpython実装まで |
![]() サポートベクターマシン Svm とは 基本からpython実装まで | ![]() サポートベクターマシン Svm とは 基本からpython実装まで | ![]() サポートベクターマシン Svm とは 基本からpython実装まで |
![]() サポートベクターマシン Svm とは 基本からpython実装まで | サポートベクターマシン Svm とは 基本からpython実装まで | ![]() サポートベクターマシン Svm とは 基本からpython実装まで |
サポートベクターマシン Svm とは 基本からpython実装まで | ![]() サポートベクターマシン Svm とは 基本からpython実装まで | ![]() サポートベクターマシン Svm とは 基本からpython実装まで |
![]() サポートベクターマシン Svm とは 基本からpython実装まで | ![]() サポートベクターマシン Svm とは 基本からpython実装まで | ![]() サポートベクターマシン Svm とは 基本からpython実装まで |
サポートベクターマシン Svm とは 基本からpython実装まで | ![]() サポートベクターマシン Svm とは 基本からpython実装まで | サポートベクターマシン Svm とは 基本からpython実装まで |
![]() サポートベクターマシン Svm とは 基本からpython実装まで | サポートベクターマシン Svm とは 基本からpython実装まで | ![]() サポートベクターマシン Svm とは 基本からpython実装まで |
![]() サポートベクターマシン Svm とは 基本からpython実装まで | ![]() サポートベクターマシン Svm とは 基本からpython実装まで | ![]() サポートベクターマシン Svm とは 基本からpython実装まで |
![]() サポートベクターマシン Svm とは 基本からpython実装まで | ![]() サポートベクターマシン Svm とは 基本からpython実装まで | ![]() サポートベクターマシン Svm とは 基本からpython実装まで |
![]() サポートベクターマシン Svm とは 基本からpython実装まで | サポートベクターマシン Svm とは 基本からpython実装まで | ![]() サポートベクターマシン Svm とは 基本からpython実装まで |
![]() サポートベクターマシン Svm とは 基本からpython実装まで | ![]() サポートベクターマシン Svm とは 基本からpython実装まで | ![]() サポートベクターマシン Svm とは 基本からpython実装まで |
![]() サポートベクターマシン Svm とは 基本からpython実装まで | ![]() サポートベクターマシン Svm とは 基本からpython実装まで | ![]() サポートベクターマシン Svm とは 基本からpython実装まで |
![]() サポートベクターマシン Svm とは 基本からpython実装まで | ![]() サポートベクターマシン Svm とは 基本からpython実装まで | ![]() サポートベクターマシン Svm とは 基本からpython実装まで |
![]() サポートベクターマシン Svm とは 基本からpython実装まで | サポートベクターマシン Svm とは 基本からpython実装まで | ![]() サポートベクターマシン Svm とは 基本からpython実装まで |
![]() サポートベクターマシン Svm とは 基本からpython実装まで | ![]() サポートベクターマシン Svm とは 基本からpython実装まで | ![]() サポートベクターマシン Svm とは 基本からpython実装まで |
![]() サポートベクターマシン Svm とは 基本からpython実装まで | ![]() サポートベクターマシン Svm とは 基本からpython実装まで | ![]() サポートベクターマシン Svm とは 基本からpython実装まで |
サポートベクターマシン Svm とは 基本からpython実装まで | ![]() サポートベクターマシン Svm とは 基本からpython実装まで | サポートベクターマシン Svm とは 基本からpython実装まで |
![]() サポートベクターマシン Svm とは 基本からpython実装まで | ![]() サポートベクターマシン Svm とは 基本からpython実装まで | ![]() サポートベクターマシン Svm とは 基本からpython実装まで |
![]() サポートベクターマシン Svm とは 基本からpython実装まで | サポートベクターマシン Svm とは 基本からpython実装まで | ![]() サポートベクターマシン Svm とは 基本からpython実装まで |
![]() サポートベクターマシン Svm とは 基本からpython実装まで | サポートベクターマシン Svm とは 基本からpython実装まで | サポートベクターマシン Svm とは 基本からpython実装まで |
![]() サポートベクターマシン Svm とは 基本からpython実装まで | ![]() サポートベクターマシン Svm とは 基本からpython実装まで | ![]() サポートベクターマシン Svm とは 基本からpython実装まで |
![]() サポートベクターマシン Svm とは 基本からpython実装まで | ![]() サポートベクターマシン Svm とは 基本からpython実装まで | ![]() サポートベクターマシン Svm とは 基本からpython実装まで |
![]() サポートベクターマシン Svm とは 基本からpython実装まで | ![]() サポートベクターマシン Svm とは 基本からpython実装まで | サポートベクターマシン Svm とは 基本からpython実装まで |
![]() サポートベクターマシン Svm とは 基本からpython実装まで | ![]() サポートベクターマシン Svm とは 基本からpython実装まで | ![]() サポートベクターマシン Svm とは 基本からpython実装まで |
![]() サポートベクターマシン Svm とは 基本からpython実装まで | ![]() サポートベクターマシン Svm とは 基本からpython実装まで | サポートベクターマシン Svm とは 基本からpython実装まで |
![]() サポートベクターマシン Svm とは 基本からpython実装まで | ![]() サポートベクターマシン Svm とは 基本からpython実装まで | サポートベクターマシン Svm とは 基本からpython実装まで |
![]() サポートベクターマシン Svm とは 基本からpython実装まで | ![]() サポートベクターマシン Svm とは 基本からpython実装まで | ![]() サポートベクターマシン Svm とは 基本からpython実装まで |
![]() サポートベクターマシン Svm とは 基本からpython実装まで |
SVMによる多クラス分類には、代表的な2種類の手法があります。 1対1分類法(OvO:One versus the One) 1対他分類法(OvR:One versus the Rest) 今回はこれらを2つの 1 Introduction In this tutorial, we'll introduce the multiclass classification using Support Vector Machines (SVM) We'll first see the definitions of classification, multiclass classification,
Incoming Term: svm python 多クラス,




















































































0 件のコメント:
コメントを投稿